
Zalew Koszycki to idealne miejsce na wędkowanie i relaks w otoczeniu natury. Ciesz się pięknem przyrody i aktywnościami na świeżym powietrzu.
Nazywam się Filip Bąk i od 15 lat pasjonuję się wędkarstwem, które stało się nie tylko moim hobby, ale i sposobem na życie. Posiadam bogate doświadczenie w różnych technikach wędkarskich, od spinningu po wędkarstwo muchowe, co pozwala mi na dzielenie się praktycznymi poradami oraz sprawdzonymi technikami z innymi entuzjastami. Moja wiedza na temat ekosystemów wodnych oraz zachowań ryb sprawia, że potrafię skutecznie doradzić, jak dostosować metody połowu do zmieniających się warunków. Ukończyłem studia z zakresu biologii środowiskowej, co dodatkowo wzbogaca moje podejście do wędkarstwa i ochrony środowiska. Wierzę, że każdy wędkarz powinien dbać o przyrodę, dlatego staram się promować zrównoważone praktyki wędkarskie. Pisząc dla pzw-km-torun.pl, pragnę inspirować innych do odkrywania uroków wędkarstwa oraz dostarczać rzetelnych informacji, które pomogą w rozwijaniu ich umiejętności. Moim celem jest stworzenie społeczności, w której pasjonaci wędkarstwa będą mogli dzielić się swoimi doświadczeniami i wiedzą, a także wspólnie cieszyć się tą wyjątkową formą spędzania czasu na świeżym powietrzu.

Zalew Koszycki to idealne miejsce na wędkowanie i relaks w otoczeniu natury. Ciesz się pięknem przyrody i aktywnościami na świeżym powietrzu.

Czosnek na jakie ryby to skuteczna przynęta, która przyciąga karpie, leszcze i szczupaki. Dowiedz się, jak wykorzystać czosnek w wędkarstwie!

Poznaj aktualny rekord sandacza w Polsce! Dowiedz się o największym okazie, jego wadze, długości oraz fascynującej historii połowów tej ryby.

Zelwa to malownicza wieś w Polsce, oferująca unikalne atrakcje, wspaniałą przyrodę i bogatą historię. Idealne miejsce na relaks i agroturystykę.

Poznaj skuteczne przynęty na ryby, które przyciągną wiele gatunków. Sprawdź, na jakie ryby działają konopie i zwiększ swoje szanse na udane połowy!

Sprawdź kalendarz brań lipiec i poznaj najlepsze dni na wędkowanie. Zwiększ swoje szanse na udane połowy i ciesz się wędkowaniem w tym miesiącu!

Szukasz idealnych miejsc na ryby z noclegiem w Polsce? Sprawdź popularne regiony, agroturystykę i najlepsze oferty wędkarskie z zakwaterowaniem.

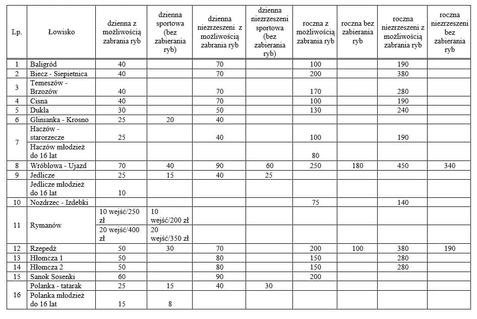
Sprawdź, jakie są opłaty PZW w Toruniu oraz zniżki dla wędkarzy. Dowiedz się, ile kosztuje wędkowanie i jak zaoszczędzić na składkach.

Czy wieloryb to największa ryba na świecie? Dowiedz się, dlaczego wieloryby są ssakami, a nie rybami, oraz poznaj największe gatunki ryb.

Znajdź najlepszy układ jezdny do kosza wędkarskiego! Porównaj modele, ceny i funkcje, aby wybrać idealny sprzęt na swoje wędkarskie wyprawy.