
Czym przyprawić rybę na parze, aby wydobyć jej delikatny smak?
Czym przyprawić rybę na parze? Poznaj najlepsze przyprawy i techniki, które wydobędą delikatny smak ryby i wzbogacą Twoje danie.

Czym przyprawić rybę na parze? Poznaj najlepsze przyprawy i techniki, które wydobędą delikatny smak ryby i wzbogacą Twoje danie.

Poznaj najlepsze przyprawy do ryby na parze, które podkreślą jej smak i aromat. Odkryj, jak zioła i cytrusy wzbogacą Twoje dania rybne.

Poznaj skuteczne ziarna na ryby, które przyciągają karpie i inne gatunki. Dowiedz się, jak je przygotować i jakie dodatki zwiększają ich atrakcyjność.

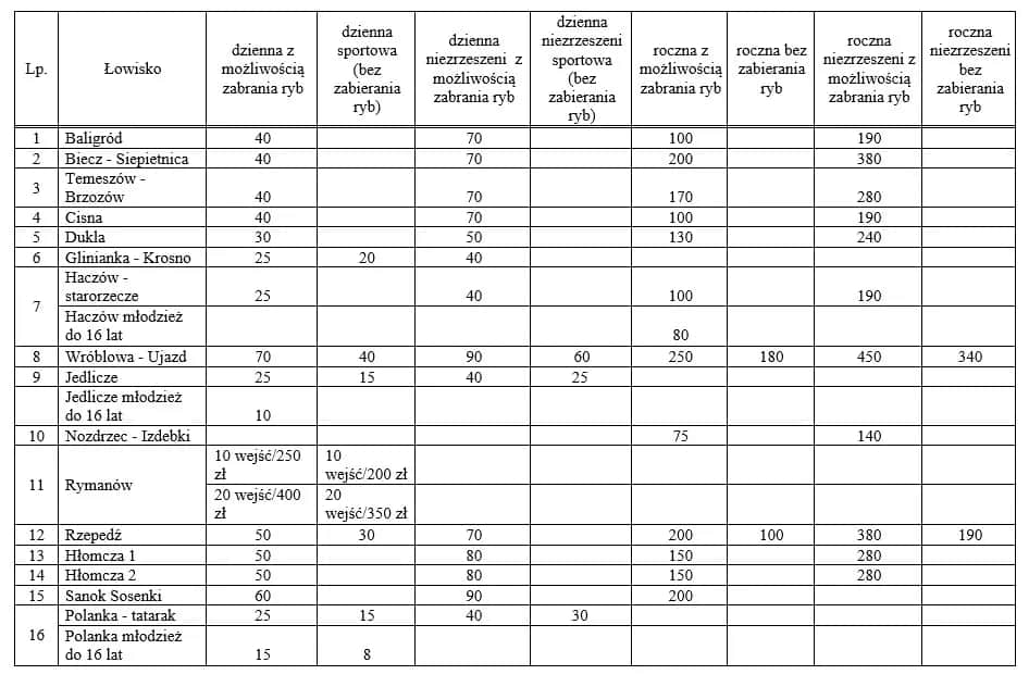
Sprawdź, jakie są koszty karty wędkarskiej w Polsce. Poznaj ceny, opłaty i zniżki, które pomogą Ci w planowaniu wędkarskich wypraw.

Zastanawiasz się, haczyk nr 8 na jakie ryby? Sprawdź, jakie gatunki możesz złowić oraz skuteczne techniki i przynęty, które zwiększą Twój sukces w wędkarstwie.

Zalew Koszycki to idealne miejsce na wędkowanie i relaks w otoczeniu natury. Ciesz się pięknem przyrody i aktywnościami na świeżym powietrzu.

Poznaj skuteczne przynęty na ryby, które przyciągną wiele gatunków. Sprawdź, na jakie ryby działają konopie i zwiększ swoje szanse na udane połowy!

Sprawdź, jakie są opłaty PZW w Toruniu oraz zniżki dla wędkarzy. Dowiedz się, ile kosztuje wędkowanie i jak zaoszczędzić na składkach.

Nowy rekord polski lina to 4,64 kg i 56 cm długości. Dowiedz się, jak ten sukces wpływa na wędkarzy i ich techniki łowienia. Sprawdź szczegóły!

Zastanawiasz się, co zabrać na ryby? Sprawdź kluczowe akcesoria, które zapewnią komfort i bezpieczeństwo podczas każdej wyprawy wędkarskiej!