
Jezioro Pełcz - raj dla wędkarzy i nurków w pięknej scenerii
Jezioro Pełcz to idealne miejsce dla wędkarzy i nurków, oferujące piękne krajobrazy oraz bogaty ekosystem. Spędź niezapomniane chwile na łonie natury!

Jezioro Pełcz to idealne miejsce dla wędkarzy i nurków, oferujące piękne krajobrazy oraz bogaty ekosystem. Spędź niezapomniane chwile na łonie natury!

Jezioro Łukcze to idealne miejsce na wypoczynek, oferujące sporty wodne, malownicze szlaki i relaks w otoczeniu natury. Spędź niezapomniane chwile!

Dowiedz się, dlaczego ryba leży na dnie akwarium. Poznaj przyczyny tego zachowania oraz skuteczne rozwiązania, aby poprawić zdrowie swoich ryb.

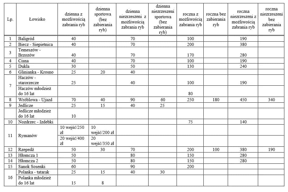
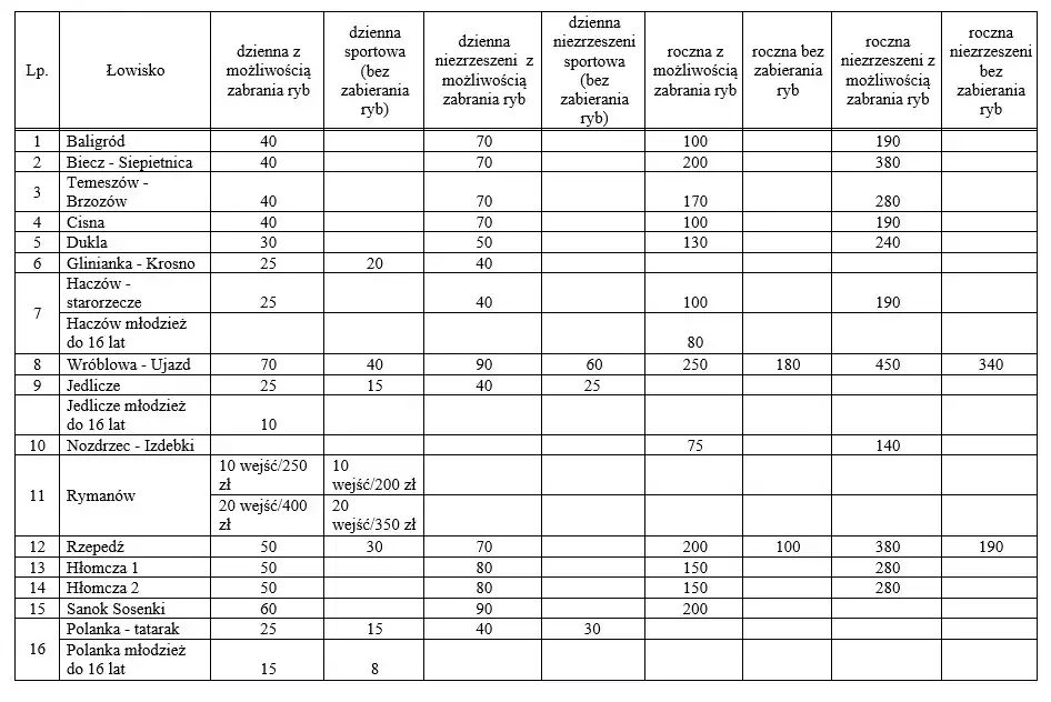
Poznaj kluczowe informacje o wędkowaniu i łowiskach w regionie. Sprawdź, jak PZW Piła wspiera wędkarzy oraz jakie wydarzenia organizuje dla młodzieży.

Jezioro Siecino ryby to idealne miejsce dla wędkarzy. Sprawdź najpopularniejsze gatunki, przepisy wędkarskie i najlepsze techniki połowu.

Poznaj tajemnice jezior w Międzyrzeczu, ich znaczenie dla przyrody oraz aktualne problemy ekologiczne. Dowiedz się, jak możesz pomóc w ich ochronie.

Znajdź najlepsze blachy wędkarskie do łowienia drapieżników. Dowiedz się, jak wybrać odpowiednie przynęty i zwiększyć swoje szanse na sukces wędkarski.

Naucz się, jak zrobić siatkę na ryby w prosty sposób. Odkryj kluczowe materiały, techniki mocowania i wskazówki, które zwiększą efektywność połowów.

Tejstymy to malownicza wieś w województwie warmińsko-mazurskim, pełna historii, atrakcji i pięknych krajobrazów. Sprawdź, co warto zobaczyć!

Skuteczne łowienie sumów w Szczecinie wymaga znajomości wód sumowskich. Sprawdź najlepsze techniki i unikaj najczęstszych błędów w połowach.